Ecuaciones
(67) ejercicios de Ecuaciones
-
Resuelve las ecuaciones:
–
–
-
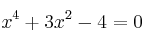
Resuelve la ecuación

-
Resuelve la ecuación

-
Resuelve la ecuación

-
Resuelve la ecuación

