• Apuntes
  • Vídeos
  • Ejercicios
    • Resueltos
    • Por Curso
      • 1º ESO
      • 2º ESO
      • 3º ESO
      • 4º ESO
      • 1º BACH. CIENCIAS
      • 1º BACH. SOCIALES
      • 2º BACH. CIENCIAS
      • 2º BACH. SOCIALES
  • Más recursos
    • Actividades Interactivas
    • Selectividad (PAU)
    • Acceso Mayores 25
    • LaTeX
Inicio ›EJERCICIOS de Matemáticas ›4º ESO ›Polinomios ›División de Polinomios: Polinomio entre Binomio

División de Polinomios: Polinomio entre Binomio

división_clásica_polinomiosEjercicios_Resueltosoperaciones_con_polinomios

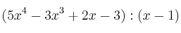
Efectúa usando la división tradicional de polinomios:
(5x^4-3x^3+2x-3) : (x-1)

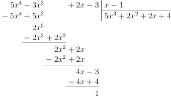
SOLUCIÓN

Para hacer la división clásica de polinomios puedes seguir las siguientes instrucciones:
Cociente de polinomios

\polylongdiv[style=D]{5x^4-3x^3+2x-3}{x-1}

Comentar el ejercicio

  • 4º ESO
    • Números Reales
    • Radicales
    • Logaritmos
    • Polinomios
    • Ecuaciones
    • Sistemas de ecuaciones
    • Proporcionalidad
    • Inecuaciones
    • Trigonometría
    • Funciones 4º ESO
    • Números racionales
    • Circunferencia
    • Geometría en el plano
    • Probabilidad
    • Estadística
  • Mapa del sitio
  • Conectarse
  • 2001-2026 — Matemáticas IES — Contactar con Dani