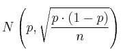
Distribución Muestral de Proporciones
Las proporciones muestrales de tamaño
extraídas de una población con probabilidad de éxito
, se ajustan a una distribución normal de parámetros:

– Se basa en la Aproximación de la Binomial a la Normal, por tanto, se considera una buena aproximación cuando se cumplan las condiciones
,
y
– En la práctica la proporción de la población
suele ser desconocida y se usa la proporción de la muestra ![]()