• Apuntes
  • Vídeos
  • Ejercicios
    • Resueltos
    • Por Curso
      • 1º ESO
      • 2º ESO
      • 3º ESO
      • 4º ESO
      • 1º BACH. CIENCIAS
      • 1º BACH. SOCIALES
      • 2º BACH. CIENCIAS
      • 2º BACH. SOCIALES
  • Más recursos
    • Actividades Interactivas
    • Selectividad (PAU)
    • Acceso Mayores 25
    • LaTeX
Inicio ›EJERCICIOS de Matemáticas ›4º ESO ›Polinomios ›Cociente de polinomios por división clásica y por Ruffini

Cociente de polinomios por división clásica y por Ruffini

Ejercicios_Resueltosoperaciones_con_polinomiospolinomios

Calcula el cociente y el resto de las siguientes divisiones de polinomios:

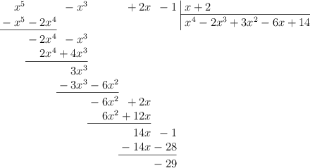
– a) \: (x^5-x^3+2x-1) : (x+2)
– b) \: (2x^3-3x^2+4x+8):(x-3)

SOLUCIÓN

Haremos la división de dos formas: por la división clásica de polinomios y por la Regla de Ruffini

apartado a)

\polylongdiv[style=D]{x^5-x^3+2x-1}{x+2}

 \polyhornerscheme[x=-2, resultstyle=\color{red},resultbottomrule,resultleftrule,resultrightrule]{x^5-x^3+2x-1}

Cociente: x^4-2x^3+3x^2-6x+14
Resto: -29

apartado b)

\polylongdiv[style=D]{2x^3-3x^2+4x+8}{x-3}

 \polyhornerscheme[x=3, resultstyle=\color{red},resultbottomrule,resultleftrule,resultrightrule]{2x^3-3x^2+4x+8}

Cociente: 2x^2+3x+13
Resto: 47

Comentar el ejercicio

  • 4º ESO
    • Números Reales
    • Radicales
    • Logaritmos
    • Polinomios
    • Ecuaciones
    • Sistemas de ecuaciones
    • Proporcionalidad
    • Inecuaciones
    • Trigonometría
    • Funciones 4º ESO
    • Números racionales
    • Circunferencia
    • Geometría en el plano
    • Probabilidad
    • Estadística
  • Mapa del sitio
  • Conectarse
  • 2001-2026 — Matemáticas IES — Contactar con Dani