Asíntota oblicua
Asíntota oblicua
Cuando una función no tenga asíntota horizontal, puede tener asíntota oblicua.
La asíntota oblicua de una función
es una recta de ecuación
, donde m y n vienen dadas por las expresiones siguientes:
![]()
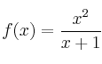
Ejemplo: Calculamos asíntotas oblicuas de 
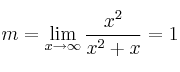
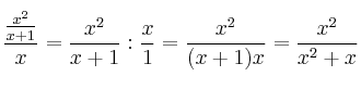
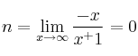
Por tanto 
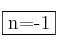
Por tanto 
La asíntota oblicua es 
Ejercicios Resueltos de Asíntotas Oblicuas
Ej 1 de Asíntotas Oblicuas