Ecuaciones

Matemáticas 1º ESO - Ecuaciones

Resuelve la ecuación: 3x+8-5x-5=2(x+6)-7x

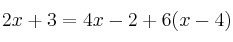
Resuelve la ecuación: 2x+3=4x-2+6(x-4)

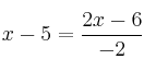
Resuelve la ecuación:

x-5 = \frac{2x-6}{-2}

Resuelve la ecuación:

8 + \frac{4x}{3} = 7 + \frac{x}{2}

Resuelve la ecuación:

\frac{x+4}{5} + \frac{x+1}{2} - \frac{x+3}{4} = 1

Calcula dos números sabiendo que suman 32 y que uno de ellos es la séptima parte del otro

El doble de la edad de Juan más 25 años es igual a la edad de su padre, que tiene 51 años. ¿Cuántos años tiene Juan?

Los 43 años del padre de Pepe suponen cuatro años más que el triple de la edad de Pepe. ¿Cuántos años tiene Pepe?

Un rectángulo es el triple de largo que de ancho. Calcula lo que miden sus lados sabiendo que el perímetro es 56 m.