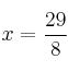
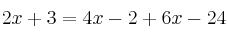
Ejercicio 2677 - Ecuaciones 💬 4 ecuacionesecuaciones de primer gradoecuaciones_con_paréntesisEjercicios_Resueltos Resuelve la ecuación: SOLUCIÓN Quitamos paréntesis Comentar el ejercicio Mensajes 4 de mayo de 2011, 12:56, por Pepe Perooo?Como se hace? 4 de mayo de 2011, 13:10, por dani Aquí tienes la explicación: http://matematicasies.com/?Ecuacion... 4 de mayo de 2011, 13:24, por Pepe Gracias. No sabia hacerlo 26 de febrero de 2019, 19:44, por Pepito grillo me asusté porque es decimal (no decimales plis :) es buena página , me ayuda mucho gracias.)
Mensajes
4 de mayo de 2011, 12:56, por Pepe
Perooo?Como se hace?
4 de mayo de 2011, 13:10, por dani
Aquí tienes la explicación:
http://matematicasies.com/?Ecuacion...
4 de mayo de 2011, 13:24, por Pepe
Gracias. No sabia hacerlo
26 de febrero de 2019, 19:44, por Pepito grillo
me asusté porque es decimal (no decimales plis :) es buena página , me ayuda mucho gracias.)