Ángulo de dos rectas en el espacio 4570
Calcula el ángulo que forman las rectas
y
, siendo sus ecuaciones las siguientes:

SOLUCIÓN
Para hallar el ángulo entre dos rectas basta con determinar el ángulo que forman sus vectores directores.
Usaremos el producto escalar para determinar el ángulo entre dos vectores
Vector director de ![]()
Vector director de ![]()
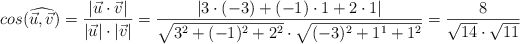
![]()
El ángulo es ![]()
Si usamos la calculadora obtendremos aproximadamente ![]()
Mensajes
24 de diciembre de 2021, 16:41, por miguel
Porque el producto escalar (numerador) lo poneis en valor absoluto? Gracias de antemano, muy buena pagina para practicar.
24 de diciembre de 2021, 16:54, por dani
Se toma en valor absoluto para que el coseno salga positivo y así asegurarnos el menor de los dos ángulos posibles (está explicado aquí)