Funciones, Derivadas e Integrales
Análisis matemático: Funciones, Límites, Derivadas e Integrales
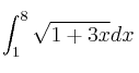
Resuelva la integral 
Aplica el cambio
para resolver la integral

Halla
sabiendo que
y que ![]()
Dada la función
, calcula una primitiva de
cuya gráfica pase por el punto ![]()
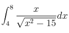
Calcule la integral definida 
Calcule la integral definida:

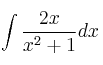
Resuelva la integral 
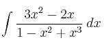
Resuelva la integral 
Resuelva la integral 
Resuelve la intergral 