Integral resuelta de dos formas: inmediata y cambio de variable
Resuelve la intergral 
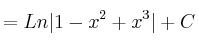
SOLUCIÓN
Otra forma de resolver la integral es de forma directa, es decir es una integral inmediata (o directa) de tipo
porque el numerador es la derivada del denominador

![]()