Geometría en el Plano
Geometría - 1º Bach. Ciencias
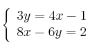
Calcula el valor de a y b para que las rectas:
y
sean perpendiculares y además
pase por el punto
.
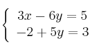
Estudia la posición relativa de los siguientes pares de rectas y halla el punto de corte (cuando exista)
a) 
b) 
Dados los puntos
y
, se pide:
– a) Ecuaciones paramétricas, continua y general de la recta
que pasa por
y
– b) Ángulo que forma la recta anterior con el eje de abcisas
– c) Ecuación de la mediatriz del segmento determinado por
y
– d) Distancia de dicha mediatriz al origen de coordenadas
Dados los vectores
y
, hallar un vector
tal que
y 
Dados los vectores
y
, hallar
de modo que
. ¿Qué ángulo forman los vectores
y
?
Dado el vector
hallar:
– Los vectores unitarios con la misma dirección de
– Los vectores ortogonales a
con el mismo módulo que
– Los vectores unitarios y ortogonales a ![]()
Un explorador queda atrapado en una tormenta de nieve (en el que la nevada es tan espesa que el suelo no se puede distinguir del cielo) mientras regresa al campamento base. Se suponía que debía viajar al norte por 5,89 km, pero cuando la nieve se despeja, descubre que en realidad viajó 7,51 km a 59,0° al norte del este. Presente el procedimiento paso a paso y con base en la anterior información responda las siguientes preguntas:
(a) ¿Qué tanto debe caminar para volver al campamento base?
(b) ¿en qué dirección debe viajar ahora para llegar al campamento base? NOTA: presente su respuesta con respecto al semieje positivo horizontal.
Halla el valor de todos los ángulos del rombo cuyos vértices son: A(1, 0) , B(3, 4) , C(5, 0) y D(3, -4)
Halla la ecuación general de la recta de pendiente 3 y ordenada en el origen -5.
Halla la longitud del segmento que determina la recta
al cortar a los ejes de coordenadas