11 - Distancia entre dos puntos
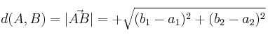
Podemos calcular la distancia entre los puntos
y
hallando el módulo del vector ![]()

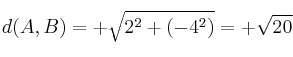
Ejemplo: Calcular la distancia entre los puntos
y ![]()


Podemos calcular la distancia entre los puntos
y
hallando el módulo del vector ![]()

Ejemplo: Calcular la distancia entre los puntos
y ![]()

