05 - Operaciones con vectores (analíticamente)

geometríavectores

Operaciones con vectores

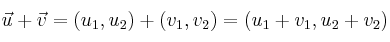
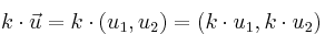
Sean los vectores \vec{u}=(u_1,u_2) y \vec{v}=(v_1,v_2). Definimos las suma de vectores y el producto de un vector por un número real (k)
 \vec{u}+\vec{v}=(u_1,u_2)+(v_1,v_2) = (u_1+v_1, u_2+v_2)
 k \cdot \vec{u} = k \cdot (u_1,u_2)= (k \cdot u_1, k \cdot u_2)

Ejemplo: Sean los vectores \vec{u}=(1,3) y \vec{v}=(2,-5). Calcula las componentes del vector \vec{w} sabiendo que \vec{w}= \vec{u} + 2 \vec{v}

\vec{w}= \vec{u} + 2 \vec{v} = (1,3) + 2 \cdot (2,-5) = (1,3) + (4,-10)=(5,-7)

Comentar el artículo