Geometría en el Espacio
Ejercicios de Geometría en el espacio. Bachillerato
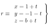
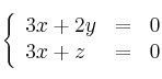
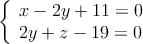
Se sabe que las rectas:

y

están contenidas en un mismo plano
– (a) Calcula
– (b) Halla la ecuación del plano que contiene a las rectas
y ![]()
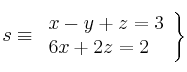
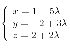
Se considera la recta
definida por
,
, y la recta
definida por 
– (a) Halla el valor de
para el que
y
son perpendiculares.
– (b) Deduce razonadamente si existe algún valor de
para el que
y
son paralelas.
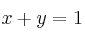
Considera los puntos
,
,
y
.
– (a) Calcula la ecuación del plano
que contiene a los puntos
,
y
– (b) Halla el punto simétrico de
respecto del plano
.
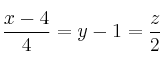
Considera el punto
y la recta
definida por las ecuaciones

– a) Halla la ecuación del plano perpendicular a r que pasa por A
– b) Calcula la distancia del punto A a la recta r
Considera el punto
, la recta
definida por
y la recta
definida por
.
– (a) Estudia la posición relativa de
y
– (b) Halla la ecuación del plano que pasando por
es paralelo a
y
.
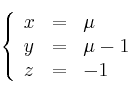
Se considera la recta r definida por

y la recta s definida por

Halla la ecuación de la recta perpendicular común a r y s
Sea la recta
definida por

– a) Determine la ecuación del plano perpendicular a
que pasa por el punto
– b) Halla los puntos de r cuya distancia al origen es de 4 unidades
Halla la ecuación del plano que es paralelo a la recta
de ecuaciones
![]()
y contiene a la recta
definida por

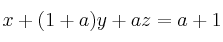
Considera los planos
,
y
dados respectivamente por las ecuaciones
,
y
– a) ¿Cuánto ha de valer
para que no tengan ningún punto en común?
– b) Para
, determina la posición relativa de los planos.
Halla el punto simétrico de
respecto de la recta
de ecuación
