Selectividad Andalucía 2008-6-A4
Se considera la recta
definida por
,
, y la recta
definida por 
– (a) Halla el valor de
para el que
y
son perpendiculares.
– (b) Deduce razonadamente si existe algún valor de
para el que
y
son paralelas.
SOLUCIÓN
– a) Para que
y
sean perpendiculares, sus vectores directores deben ser ortogonales (perpendiculares), es decir, su producto escalar debe ser cero.
Busquemos los vectores directores de ambas rectas:
La recta
viene expresada en ecuación continua
, por lo que un vector director sería
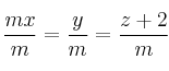
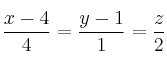
La recta
también viene en ecuación continua, aunque un poco disfrazada:
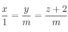
. Podemos dividir todo por
(el enunciado nos asegura que
) y quedaría:
Simplificando en la primera fracción ya tenemos una expresión correcta de la ecuación continua
Por tanto, un vector director sería ![]()
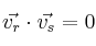
Para que los dos vectores sean perpendiculares su producto escalar debe ser cero:
<(math>
– b) Parar que
y
sean paralelas, sus vectores directores deben ser proporcionales:
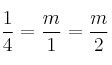
De la triple igualdad obtendríamos dos valores distintos de
, por lo que no pueden ser paralelas para ningún valor de ![]()