Selectividad Andalucía 2009-3-A4
andalucíaEjercicios_Resueltosgeometría3DMatemáticasII_Andalucía_2009rectas en el espacioselectividad
Se considera la recta r definida por

y la recta s definida por

Halla la ecuación de la recta perpendicular común a r y s
SOLUCIÓN
Usaremos el procedimiento descrito en este vídeo
Necesitamos un punto genérico y un vector director de cada recta (es fácil obtenerlos puesto que ambas rectas vienen en ecuaciones paramétricas)
Recta r :
– punto genérico
– vector ![]()
Recta s :
– punto genérico
– vector ![]()
Construimos el vector 
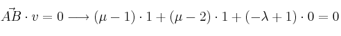
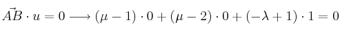
Aplicamos el procedimiento: el vector
debe ser perpendicular a los vectores
y ![]()

Operamos y simplificamos ambas ecuaciones, quedando
![]()
Por tanto,
y ![]()
Los puntos A y B don entonces
y ![]()
Con los puntos
y
construimos la ecuación de la recta pedida: tomamos como punto
y como vector 
La recta, en paramétricas es:
