unidimensionales
Sea
una variable aleatoria que anota la suma de puntos al lanzar dos dados. Se pide:
– a) Tabla de probabilidades
– b) esperanza matemática
– c) desviación típica
SOLUCIÓN
Al sumar los puntos de dos datos obtendremos unos valores que oscilan entre 2 (1+1) y 12 (6+6). Para expresar la tabla de probabilidades, basta con asignar probabilidades a los diferentes valores (2 a 12) de la variable.
Por ejemplo, para que la suma sea 3 tenemos 2 opciones (1+2 , 2+1) de los 36 sucesos elementales que componen el espacio muestral de lanzar 2 dados.

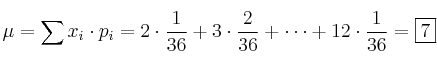
– b) 
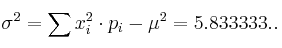
– c)
