📝 Ejercicios de Inecuaciones_1_incógnita
-
Resuelve la inecuación

-
Resuelve la inecuación

-
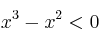
Resuelve la inecuación

-
Resuelve la inecuación

-
Resuelve la inecuación:

-
Resuelve la inecuación:

-
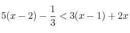
Resuelve la inecuación:

-
Resuelve la inecuación:

-
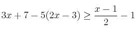
Resuelve la siguiente inecuación y expresa el resultado en forma de intervalo:

-
Resuelve la siguiente inecuación y expresa el resultado en forma de intervalo:

-
Resuelve la siguiente inecuación y expresa el resultado en forma de intervalo:

-
Resuelve la siguiente inecuación y expresa el resultado en forma de intervalo:

-
Resuelve la inecuación:

-
Resuelve la inecuación

-
Resuelve la inecuación

-
Resuelve la inecuación

-
Resuelve las siguientes inecuaciones:
– a)
– b)
-
Resuelve las siguientes inecuaciones:
– a)
– b)
-
Expresa en forma de intervalo la solución de la inecuación

-
Resuelve la inecuación:

- 1
- 2