📝 Ejercicios de rectas en el espacio
-
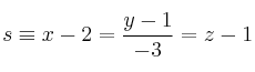
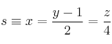
Demuestra que las siguientes rectas son ortogonales:

-
Los puntos
,
y
son tres de los vértices de un tetraedro. El cuarto vértice D está contenido en la recta r que pasa por el punto
y es perpendicular al plano
que contiene a los puntos A, B y C.– a) Calcule la ecuación del plano que contiene a los puntos A, B y C.
– b) Calcule la ecuación de la recta r que pasa por el punto
y es perpendicular al plano
– c) Calcule las coordenadas del vértice D sabiendo que el volumen del tetraedro es 18. -
Halla la distancia entre las rectas paralelas:

-
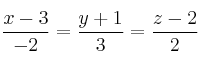
Halla la distancia entre las rectas:

-
Escriba las ecuaciones paramétricas, continua e implícita de la recta que pasa por los puntos
y
-
Dados los puntos
y
se considera la recta
que pasa por ambos. Se pide:a) Halla un vector director de
.b) Obtén la ecuación vectorial, paramétrica, continua e implícita (o general) de
.
-
Considera la recta r que pasa por el punto
y lleva la dirección del vector 
Se pide:a) Halla su ecuación paramétrica.
b) Halla su ecuación continua.
c) Halla su ecuación implícita.
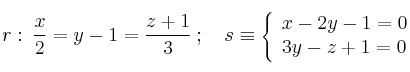
d) Estudia la posición relativa de la recta r respecto a la s:

-
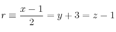
Estudia la posición relativa de las rectas:
y

-
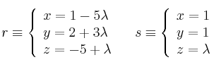
Estudia la posición relativa (y punto de corte en caso de ser secantes) de las rectas:

-
Halla la posición relativa (y punto de corte si existe) de las rectas:

-
Comprueba mediante más de un método si los siguientes puntos están alineados:

-
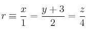
Dadas las rectas
y
– a) Halla los puntos de corte entre
y el plano
– b) Halla la ecuación de un plano que sea perpendicular a
y que pase por el punto de corte hallado en el apartado a)
-
Dados los puntos
,
y
, se pide:– a) Ecuación del plano
que pasa por
,
y
– b) Vector normal al plano
– c) Ecuación de una recta perpendicular al plano
y que pase por el punto 
-
Dados los puntos
y
, escriba las ecuaciones paramétricas, continua e implícitas de la recta que pasa por los puntos
y 
-
Halla dos puntos y dos vectores directores de la recta

-
Halla dos puntos y dos vectores directores de la recta

-
Halla dos puntos y dos vectores directores de la recta

-
Halla dos puntos y dos vectores directores de la recta

-
Dados los puntos
,
y
, se pide:– a) Ecuación del plano
que pasa por
,
y
– b) Vector normal al plano
– c) Ecuación de una recta perpendicular al plano
y que pase por el punto 
-
La Gran Pirámide de Guiza (también conocida como Pirámide de Keops o de Jufu) es la más antigua de las siete maravillas del mundo y la única que aún perdura, además de ser la mayor de las pirámides de Egipto. Ayúdanos a conocer un poco más de la Gran Pirámide, siguiendo los siguientes pasos:
1) La base de la pirámide está formada por los cuatro puntos de los cuales tres puntos son
,
y
. Forma los vectores
y
, comprueba que son linealmente independientes y calcula el área del paralelogramo que forman haciendo uso del producto vectorial. Sabiendo que la longitud es
y por tanto la superficie es
¿Cuántos metros cuadrados de superficie tiene la Gran Pirámide?2) Si la vertical del centro de la pirámide sigue esta ecuación:

Y el lado de la puerta (donde está el
) es la recta de ecuación:

¿Cuántos metros hay de la puerta al centro de la pirámide, O? Demuéstralo con la distancia entre dos rectas (1=23 m)
3) Sabiendo que la cúspide (D) está en el
calcular las ecuaciones vectoriales y paramétricas de las dos rectas
y
que forma los lados (
y
)4) Halla el plano que contiene a la puerta
y es un lado de la pirámide. Halla el plano que es vertical y contiene a la puerta y al centro O. Interseca ambos planos obteniendo la ecuación de la recta
. Comprueba que es la misma recta que pasa por la puerta y la cúspide D.