• Apuntes
  • Vídeos
  • Ejercicios
    • Resueltos
    • Por Curso
      • 1º ESO
      • 2º ESO
      • 3º ESO
      • 4º ESO
      • 1º BACH. CIENCIAS
      • 1º BACH. SOCIALES
      • 2º BACH. CIENCIAS
      • 2º BACH. SOCIALES
  • Más recursos
    • Actividades Interactivas
    • Selectividad (PAU)
    • Acceso Mayores 25
    • LaTeX
Inicio ›EJERCICIOS de Matemáticas ›2º BACH. CIENCIAS ›Geometría en el Espacio ›Ejercicio 2647. Posición relativa de 2 Rectas en el espacio

Ejercicio 2647. Posición relativa de 2 Rectas en el espacio

geometría3Dposiciones_relativasrectas en el espacio

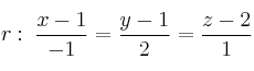
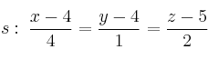
Estudia la posición relativa de las rectas:
r: \: \frac{x-1}{-1}=\frac{y-1}{2}=\frac{z-2}{1} y
s: \: \frac{x-4}{4}=\frac{y-4}{1}=\frac{z-5}{2}

Comentar el ejercicio

  • 2º BACH. CIENCIAS
    • Funciones, Derivadas e Integrales
    • Geometría en el Espacio
    • Matrices, Determinantes y Sistemas
    • SELECTIVIDAD - EvAU
  • Mapa del sitio
  • Conectarse
  • 2001-2026 — Matemáticas IES — Contactar con Dani