📝 Ejercicios de fracciones_algebraicas
-
Simplifica la fracción algebraica

-
Calcula y simplifica:

-
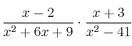
Calcula y simplifica:

-
Realiza las siguientes operaciones con fracciones algebraicas:
–
–
-
Simplifica las siguientes expresiones factorizando previamente los polinomios del numerador y del denominador:
–
–
-
Simplifica las siguientes expresiones factorizando previamente los polinomios del numerador y del denominador:
–
–
-
Calcula y simplifica:

-
Calcula y simplifica:

-
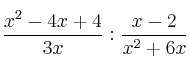
Calcula y simplifica:

-
Calcula y simplifica:

-
Simplifica las sigientes fracciones algebraicas:

-
Calcula y simplifica:

-
Reduce a común denominador los siguientes grupos de fracciones algebraicas:
–
,
,
–
,
,
–
,
, 
-
Simplifica las siguientes fracciones algebraicas:
–
–
–
-
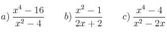
Simplifica las siguientes fracciones algebraicas:
–
–
–
–