📝 Ejercicios de logaritmos
-
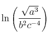
Aplica las propiedades de los logaritmos para desarrollar la expresión

-
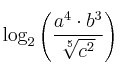
Aplica las propiedades de los logaritmos para desarrollar la expresión
![\log_2 \left( \frac{a^4 \cdot b^3}{\sqrt[5]{c^2}} \right) \log_2 \left( \frac{a^4 \cdot b^3}{\sqrt[5]{c^2}} \right)](local/cache-TeX/ff99dffbef0301811568f0c4f9c6ca4d.png)
-
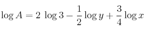
Expresa como un sólo logaritmo:

-
Expresa como un sólo logaritmo:

-
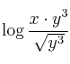
Elimina logaritmos de la expresión:

-
Elimina logaritmos de la expresión:

-
Elimina logaritmos de la expresión:

-
Elimina logaritmos de la expresión:

-
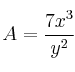
Transforma la siguiente expresión algebraica en una expresión logarítmica:

-
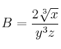
Transforma la siguiente expresión algebraica en una expresión logarítmica:
![B = \frac{2 \sqrt[3]{x}}{y^3z} B = \frac{2 \sqrt[3]{x}}{y^3z}](local/cache-TeX/e09e96ba9dcc81a58d1acc50f7cb5c65.png)
-
Halla la expresión logarítmica a partir de la siguiente expresión algebraica:
![C = \frac{27x^4 \sqrt[3]{7^4}}{8 \sqrt[7]{y^2}} C = \frac{27x^4 \sqrt[3]{7^4}}{8 \sqrt[7]{y^2}}](local/cache-TeX/8d919887ae6a7a150748519daf9e052a.png)
-
Halla la expresión logarítmica a partir de la siguiente expresión algebraica:
![D = \frac{3x^2 \sqrt[5]{4^3}}{2z^3 \sqrt{7}} D = \frac{3x^2 \sqrt[5]{4^3}}{2z^3 \sqrt{7}}](local/cache-TeX/a0f06a1c07201ae9c1ae966f7f615db9.png)
-
Sabiendo que
y que
, calcula 
-
Calcula el valor de
en las siguientes expresiones:
– a)
– b)
-
Calcula los siguientes logarítmos:
– a)
– b)
-
Sabiendo que
y que
, calcula 
-
Calcula los siguientes logaritmos:

-
Usa el cambio de base y la calculadora para calcular:
– a)
– b)
-
Aplica logaritmos para resolver la ecuación exponencial

-
Calcula los siguientes logaritmos:
