📝 Ejercicios de ecuaciones_exponenciales
-
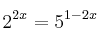
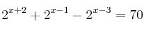
Resuelve la ecuación

-
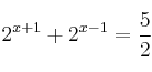
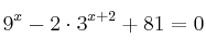
Resuelve la ecuación

-
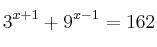
Resuelve la ecuación

-
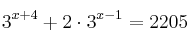
Resuelve la ecuación

-
Resuelve la ecuación

-
Resuelve la ecuación

-
Resuelve la ecuación

-
Resuelve la ecuación

-
Resuelve la ecuación

-
Resuelve la ecuación

-
Resuelve la ecuación

-
Resuelve la ecuación

-
Resuelve la ecuación

-
Resuelve la ecuación

-
Resuelve la ecuación

-
Resuelve la ecuación

-
Resuelve la ecuación

-
Resuelve la ecuación

-
Resuelve la ecuación

-
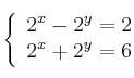
Resuelve el sistema:
