ecuaciones logaritmicas y exponenciales

ecuacionesecuaciones_exponencialesEjercicios_Resueltos

Resuelve la ecuación 2^{x+1} \cdot 2^x = 64

SOLUCIÓN

Para resolver una ecuación exponencial:
1) Expresar en potencias de la misma base (aplicando las propiedades de las potencias)
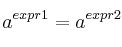
2) Debemos intentar llegar a una expresión del tipo

a^{expr1} = a^{expr2}


que al tener la misma base, podemos igualar los exponentes

expr1 = expr2

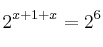
2^{x+1} \cdot 2^x = 64
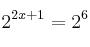
2^{x+1 + x}  = 2^6
2^{2x+1}  = 2^6
2x+1  = 6
2x  = 5
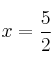
x = \frac{5}{2}

Comentar el ejercicio