📝 Ejercicios de logaritmos
-
Calcula sin usar la calculadora:
![\log_5 \frac{25 \sqrt{5}}{\sqrt[5]{125}} \log_5 \frac{25 \sqrt{5}}{\sqrt[5]{125}}](local/cache-TeX/7d6cfd8dd63f1c4bc8f26dfe70862a96.png)
-
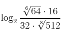
Calcula sin usar la calculadora:
![\log_2 \frac{\sqrt[6]{64} \cdot 16}{32 \cdot \sqrt[3]{512}} \log_2 \frac{\sqrt[6]{64} \cdot 16}{32 \cdot \sqrt[3]{512}}](local/cache-TeX/4bedc8c892465f72635a6f790f7097e0.png)
-
Sabiendo que
y que
, calcula

-
Sabiendo que
y que
, calcula

-
Sabiendo que
y que
, calcula

-
Sabiendo que
y que
, calcula

-
Calcula el valor de
en los siguientes logaritmos:
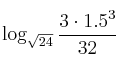
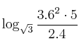
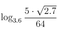
–
–
–
–
–
-
Calcula el siguiente logaritmo sin usar la calculadora:
![\log_7 \frac{49 \cdot \sqrt{343}}{\sqrt[3]{2041}} \log_7 \frac{49 \cdot \sqrt{343}}{\sqrt[3]{2041}}](local/cache-TeX/b00b246b30182467f9b37bafa26b222c.png)
-
Calcula el siguiente logaritmo sin usar la calculadora:
![\log_5 \frac{25 \cdot \sqrt[3]{625}}{125^2} \log_5 \frac{25 \cdot \sqrt[3]{625}}{125^2}](local/cache-TeX/c99ada77b325f604fd173847d72f7db9.png)
-
Sabiendo que
y que
, calcula

-
Sabiendo que
y que
, calcula

-
Sabiendo que
y que
, calcula

-
Sabiendo que
y que
, calcula

-
Calcula el valor de x en la expresión

-
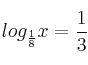
Resuelve la ecuación

-
Sabiendo que se cumplen las siguientes relaciones:
–
–
Calcula el valor de

-
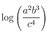
Despeja
en la expresión 
-
Calcula los siguientes logaritmos aplicando las propiedades y sabiendo que el

a)

b)

c)

-
Halla el valor de
en las siguientes expresiones logarítmicas:
–
–
–
-
Aplica las propiedades de los logaritmos para desarrollar la expresión
