📝 Ejercicios de funciones
-
A partir de la gráfica, indica el tipo de simetría que presenta cada una de la siguientes funciones:
-
Indica si existe simetría en las siguientes funciones:
–
–
–
–
-
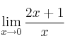
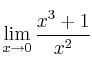
Calcula los siguientes límites:
–
–
–
–
–
–
-
Calcula los puntos de corte con los ejes de coordenadas de las siguientes funciones:
– a)
– b)
– c)
– d)
– e)
– f)
. -
Realiza un estudio gráfico completo de la función expresada en la siguiente gráfica:
-
Representa gráficamente la función

-
Representa gráficamente la siguiente función calculando previamente el vértice y los puntos de corte con los ejes de coordenadas:

-
Representa gráficamente la función:

-
Representa gráficamente la función:

-
Representa gráficamente la función

-
Sea la función:

Se pide:
– a) Representación gráfica
– b) Dominio y continuidad
– c) Corte con los ejes
– d) Monotonía y extremos
-
Asocia las siguientes funciones con sus gráficas correspondientes
–
–
–
–
–
Gráfica A
Gráfica B
Gráfica C
Gráfica D
Gráfica E -
Halla las asíntotas de la función:

-
Halla analítica y gráficamente el corte con los ejes de coordenadas de la función

-
Halla analítica y gráficamente el corte con los ejes de coordenadas de la función

-
Halla analítica y gráficamente el corte con los ejes de coordenadas de la función

-
Halla el dominio de la función

-
Halla el dominio de la función

-
Halla el dominio de la función

-
Halla el dominio de la función
