📝 Ejercicios de cónicas
-
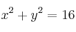
Halla la ecuación de una recta tangente a la circunferencia
que pase por el punto 
-
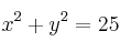
Halla la ecuación de una recta tangente a la circunferencia
que sea paralela a la recta 
-
Hallar la ordenada de los puntos de abcisa 2 que pertenecen a la circunferencia
. Representar gráficamente. -
Una torre de enfriamiento, como la que se ve en la imagen, es una estructura hiperboloide (geometría hiperbólica). Suponga que el diámetro de su base es de 100 metros y su diámetro más pequeño de 48 metros se encuentra a 84 metros de la base. Si la torre mide 120 metros de altura, calcule su diámetro en la parte más alta.
- 1
- 2