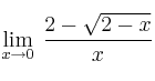
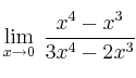
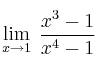
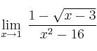
Calcula el dominio de la función
Calcule máximos y mínimos de la función
Estudie la monotonía de la función