📝 Ejercicios de funciones
-
En las siguientes gráficas indica monotonía, extremos y puntos de corte con los ejes de coordenadas
-
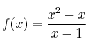
Halla las asíntotas de la siguiente función y a partir de ellas, realiza un esbozo de su gráfica.

-
Halla las asíntotas de la siguiente función y a partir de ellas, realiza un esbozo de su gráfica.

-
Halla las asíntotas de la siguiente función y a partir de ellas, realiza un esbozo de su gráfica.

-
Halla las asíntotas de la siguiente función y a partir de ellas, realiza un esbozo de su gráfica.

-
Estudia la continuidad de las siguientes funciones en los puntos que se indican:



-
Halla el valor de
para que la siguiente función sea continua.

-
Halla el valor de
para que la siguiente función sea continua.

-
Halla el valor de
para que la siguiente función sea continua.

-
Halla el valor de
para que la siguiente función sea continua en

-
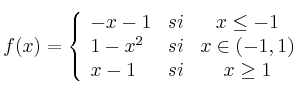
Estudia la continuidad de la siguiente función:

-
Estudia la continuidad de la siguiente función:

-
Estudia la continuidad de la siguiente función:

-
Estudia la continuidad de la siguiente función:

-
Estudia la continuidad de la función:

-
Estudia la continuidad de la función:

en los puntos
y 
-
Estudia la continuidad de la función:

>en los puntos

-
Halla el valor de
para que la siguiente función sea continua:

-
Halla el valor de
para que la siguiente función sea continua en

-
Halla el dominio de las siguientes funciones:
– a)
– b)
– c)