probabilidad
Un futbolista falla un penalty de cada 10 que tira. Si este mes ha lanzado 3, calcula la probabilidad de que:
– a) haya fallado los tres
– b) haya marcado los tres
– c) haya marcado como máximo uno
– d) haya marcado al menos dos
SOLUCIÓN
– a)
– b)
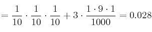
– c) ![]()

– d) "haya marcado al menos dos" es lo contrario de "como máximo 1"
(es el suceso contrario del apartado c)
1 - 0.028 = 0.972 (es el suceso contrario del apartado c)
Mensajes
20 de abril de 2020, 22:14, por YEDOSEI
por favor el proceso de la D