• Apuntes
  • Vídeos
  • Ejercicios
    • Resueltos
    • Por Curso
      • 1º ESO
      • 2º ESO
      • 3º ESO
      • 4º ESO
      • 1º BACH. CIENCIAS
      • 1º BACH. SOCIALES
      • 2º BACH. CIENCIAS
      • 2º BACH. SOCIALES
  • Más recursos
    • Actividades Interactivas
    • Selectividad (PAU)
    • Acceso Mayores 25
    • LaTeX
Inicio ›EJERCICIOS de Matemáticas ›1º BACH. SOC. ›Probabilidad ›probabilidad

probabilidad

Ejercicios_Resueltosprobabilidad

Sean los sucesos A y B tales que:
P(A)=\frac{3}{8}, P(B)=\frac{1}{2} y P(A \cup B) =\frac{5}{8}.
Calcula:

– a) P(A \cap B)
– b) P(\overline{A} \cap \overline{B})

SOLUCIÓN

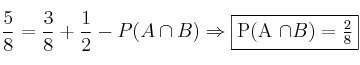
– a) P(A \cup B) = P(A) + P(B) - P(A \cap B)
\frac{5}{8} = \frac{3}{8} + \frac{1}{2} - P(A \cap B) \Rightarrow  \fbox{P(A \cap B)=\frac{2}{8}}

– b) P(\overline{A} \cap \overline{B}) = P(A \cup B)^c = 1-P(A \cup B) = 1-\frac{5}{8}=\frac{3}{8}

Comentar el ejercicio

  • 1º BACH. SOC.
    • Funciones
    • Inecuaciones
    • Logarítmos
    • Números Reales
    • Polinomios
    • Estadística
    • Probabilidad
    • Variables Aleatorias Unidimensionales
    • Ecuaciones y Sistemas
    • Límites y Derivadas
    • Exámenes
    • Variables Aleatorias bidimensionales
    • Matemática Financiera
  • Mapa del sitio
  • Conectarse
  • 2001-2026 — Matemáticas IES — Contactar con Dani