probabilidad
Lanzamos una moneda sucesivas veces hasta que salga una cara. Calcula la probabilidad de que necesitemos:
– a) lanzar la moneda 3 veces
– b) lanzar la moneda 5 veces
SOLUCIÓN
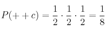
– a)
– b) 
Lanzamos una moneda sucesivas veces hasta que salga una cara. Calcula la probabilidad de que necesitemos:
– a) lanzar la moneda 3 veces
– b) lanzar la moneda 5 veces
– a)
– b) 