probabilidad sacamos tres bolas de una urna
Disponemos de una urna con 5 bolas blancas, 4 negras y 6 rojas. Extraemos tres bolas sucesivamente (con reemplazamiento). Calcula la probabilidad de que las tres bolas sean:
– a) blancas
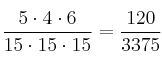
– b) del mismo color
– c) de sistinto color
– d) ninguna sea roja
SOLUCIÓN
– a)
– b) ![]()
![]()
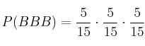
– c) Para que las 3 bolas sean de 3 colores distintos tendríamos estas combinaciones:
BNR - BRN - NBR - NRB - RBN - RNB
En las 6 combinaciones se obtiene la misma probabilidad:

Sumando las 6 sería:

– d) 