• Apuntes
  • Vídeos
  • Ejercicios
    • Resueltos
    • Por Curso
      • 1º ESO
      • 2º ESO
      • 3º ESO
      • 4º ESO
      • 1º BACH. CIENCIAS
      • 1º BACH. SOCIALES
      • 2º BACH. CIENCIAS
      • 2º BACH. SOCIALES
  • Más recursos
    • Actividades Interactivas
    • Selectividad (PAU)
    • Acceso Mayores 25
    • LaTeX
Inicio ›EJERCICIOS de Matemáticas ›1º BACH. SOC. ›Polinomios ›polinomios operaciones

polinomios operaciones

Ejercicios_Resueltosoperaciones_con_polinomiospolinomios

Realiza las siguientes divisiones de polinomios (aplica la regla de Ruffini cuando sea posible):

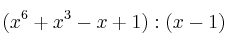
– a) (x^6 + x^3 -x + 1) : (x-1)
– b) (x^3 - 3x^2 + 2x) : \left(2x - \frac{1}{2}\right)

SOLUCIÓN

– a) (x^6 + x^3 -x + 1) : (x-1)

 \polyhornerscheme[x=1, resultstyle=\color{red},resultbottomrule,resultleftrule,resultrightrule]{x^6 + x^3 -x + 1}

Cociente: \: x^5+x^4+x^3+2x^2+2x+1
Resto: \: 2

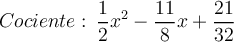
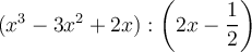
– b) (x^3 - 3x^2 + 2x) : \left(2x - \frac{1}{2}\right)

\polylongdiv[style=D]{x^3 - 3x^2 + 2x}{2x - \frac{1}{2}}

Cociente: \: \frac{1}{2}x^2-\frac{11}{8}x+\frac{21}{32}
Resto: \: \frac{21}{64}

Comentar el ejercicio

  • 1º BACH. SOC.
    • Funciones
    • Inecuaciones
    • Logarítmos
    • Números Reales
    • Polinomios
    • Estadística
    • Probabilidad
    • Variables Aleatorias Unidimensionales
    • Ecuaciones y Sistemas
    • Límites y Derivadas
    • Exámenes
    • Variables Aleatorias bidimensionales
    • Matemática Financiera
  • Mapa del sitio
  • Conectarse
  • 2001-2026 — Matemáticas IES — Contactar con Dani