• Apuntes
  • Vídeos
  • Ejercicios
    • Resueltos
    • Por Curso
      • 1º ESO
      • 2º ESO
      • 3º ESO
      • 4º ESO
      • 1º BACH. CIENCIAS
      • 1º BACH. SOCIALES
      • 2º BACH. CIENCIAS
      • 2º BACH. SOCIALES
  • Más recursos
    • Actividades Interactivas
    • Selectividad (PAU)
    • Acceso Mayores 25
    • LaTeX
Inicio ›EJERCICIOS de Matemáticas ›1º BACH. SOC. ›Polinomios ›polinomios operaciones

polinomios operaciones

división_clásica_polinomiosEjercicios_Resueltosoperaciones_con_polinomiosRuffini

Realiza las siguientes divisiones de polinomios (aplica la regla de Ruffini cuando sea posible):

– a) (x^4 - 2x^2 + 1) : (x+2)
– b) x^5 : (x^2 - 1)

SOLUCIÓN

– a) (x^4 - 2x^2 + 1) : (x+2)

 \polyhornerscheme[x=-2, resultstyle=\color{red},resultbottomrule,resultleftrule,resultrightrule]{x^4 - 2x^2 + 1}

Cociente: \: x^3-2x^2+2x-4
Resto: \: 9

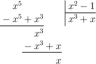
– b) x^5 : (x^2 - 1)

\polylongdiv[style=D]{x^5}{x^2-1}

Cociente: \: x^3+x
Resto: \: x

Comentar el ejercicio

  • 1º BACH. SOC.
    • Funciones
    • Inecuaciones
    • Logarítmos
    • Números Reales
    • Polinomios
    • Estadística
    • Probabilidad
    • Variables Aleatorias Unidimensionales
    • Ecuaciones y Sistemas
    • Límites y Derivadas
    • Exámenes
    • Variables Aleatorias bidimensionales
    • Matemática Financiera
  • Mapa del sitio
  • Conectarse
  • 2001-2026 — Matemáticas IES — Contactar con Dani