polinomios factorizar
Factoriza los siguientes polinomios:
– a)
– b) ![]()
SOLUCIÓN
– a)
– b) ![]()
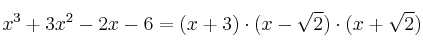
Notas: Usando raíces reales, el polinomio a) se puede factorizar aún más:
Si resolvemos la ecuación
obtenemos como soluciones
, por tanto, la factorización completa sería:
– a) 
Mensajes
13 de noviembre de 2006, 22:12, por dani
– a)

– b)
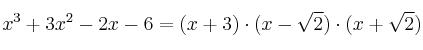
Notas: Usando raíces reales, el polinomio a) se puede factorizar aún más:
Si resolvemos la ecuación
obtenemos como soluciones
, por tanto, la factorización completa sería:
– a)