inecuaciones grado1 2incógnitas sistema vértices
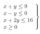
Resuelve gráficamente el siguiente sistema de inecuaciones y calcula los vértices del recinto solución:

Resuelve gráficamente el siguiente sistema de inecuaciones y calcula los vértices del recinto solución:

Mensajes
24 de noviembre de 2006, 21:42