Sistema de inecuaciones con dos incógnitas. Ejercicio 144
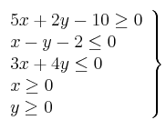
Resuelve gráficamente el siguiente sistema de inecuaciones y calcula los vértices del recinto solución:

Resuelve gráficamente el siguiente sistema de inecuaciones y calcula los vértices del recinto solución:
