funciones gráfica
Dibuja la gráfica de las siguientes expresiones algebraicas (reflejando todos los cálculos necesarios antes de dibujarlas).
– a)
– b)
– c) 
SOLUCIÓN
– a) ![]()
Es una función polinómica de primer grado, por tanto su gráfica es una recta.
Para dibujar una recta tan sólo necesitamos dos puntos:
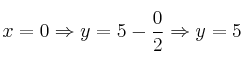
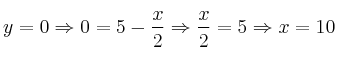
Si ![]()
Si ![]()

Dibujamos los puntos
y
y trazamos la recta.
– b) ![]()
Se trata de una función polinómica de segundo grado, por tanto su gráfica es una parábola. Para dibujar la parábola seguimos estos pasos:
1) Calcular el vértice

![]()
Por tanto el vértice es el punto ![]()
2) Orientación: como a>0 es una parábola del tipo
– c) 
3) Corte con los ejes de coordenadas.
Como el vértice está en el (0,0) y va hacia arriba, no cortará mas a los ejes
4) Otros puntos

– c) 
Es una función polinómica de primer grado, por tanto su gráfica es una recta.
Para dibujar una recta tan sólo necesitamos dos puntos:
Si 
Si 

Dibujamos los puntos
y
y trazamos la recta.