ecuaciones irracionales
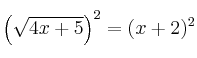
Resuelve la ecuación: ![]()
SOLUCIÓN
Se trata de una ecuación irracional (contiene a incógnita dentro de la raíz).
Para resolver este tipo de ecuaciones seguimos dos pasos:
– 1) Aislar la raíz (dejarla sola a uno de los lados del signo igual)
– 2) Elevar ambos miembros al cuadrado (para que desaparezca la raíz)
![]()

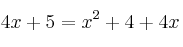
![]()
En el segundo miembro hemos aplicado el cuadrado de una suma (igualdades notables).
Al desaparecer la raíz nos ha quedado una ecuación de segundo grado
![]()
Como es incompleta, podemos resolverla sin aplicar la fórmula general

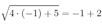
En las ecuaciones irracionales hay que verificar las soluciones:
Para ![]()
CIERTO
Para ![]()
CIERTO
Por tanto ambas soluciones son válidas.
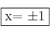
Soluciones 
Mensajes
30 de junio de 2007, 21:56, por leo
hola !
alguien podria ayudarme a resolver esta ecuacion
x + "7 elevado a la 5/6"+"4 elevado a la5/6"
1ro de julio de 2007, 02:21, por leo
la solucion es x= 1 jajaj