• Apuntes
  • Vídeos
  • Ejercicios
    • Resueltos
    • Por Curso
      • 1º ESO
      • 2º ESO
      • 3º ESO
      • 4º ESO
      • 1º BACH. CIENCIAS
      • 1º BACH. SOCIALES
      • 2º BACH. CIENCIAS
      • 2º BACH. SOCIALES
  • Más recursos
    • Actividades Interactivas
    • Selectividad (PAU)
    • Acceso Mayores 25
    • LaTeX
Inicio ›EJERCICIOS de Matemáticas ›1º BACH. SOC. ›Ecuaciones y Sistemas ›ecuaciones grado2 denominadores

ecuaciones grado2 denominadores

💬 1

  ecuacionesecuaciones con denominadoresecuaciones-segundo-gradoEjercicios_Resueltos

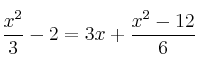
Resuelve la ecuación:
\frac{x^2}{3} - 2 = 3x + \frac{x^2 - 12}{6}

SOLUCIÓN

\frac{x^2}{3} - 2 = 3x + \frac{x^2 - 12}{6}


\frac{x^2}{3} - \frac{2}{1} = \frac{3x}{1} + \frac{x^2 - 12}{6}


m.c.m.(3,6)=6

\frac{2 \cdot x^2}{6} - \frac{6 \cdot 2}{6} = \frac{6 \cdot 3x}{6} + \frac{x^2 - 12}{6}


2x^2 - 12 =18x + x^2 - 12


2x^2 - 12 - 18x - x^2 + 12=0


x^2  - 18x = 0


x \cdot (x  - 18) = 0


– x = 0
– x - 18 = 0 \longrightarrow x=18

Comentar el ejercicio

Mensajes

  • 17 de noviembre de 2006, 18:12

    X=0 ; x=18

  • 1º BACH. SOC.
    • Funciones
    • Inecuaciones
    • Logarítmos
    • Números Reales
    • Polinomios
    • Estadística
    • Probabilidad
    • Variables Aleatorias Unidimensionales
    • Ecuaciones y Sistemas
    • Límites y Derivadas
    • Exámenes
    • Variables Aleatorias bidimensionales
    • Matemática Financiera
  • Mapa del sitio
  • Conectarse
  • 2001-2026 — Matemáticas IES — Contactar con Dani