ecuaciones bicuadradas
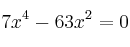
Resuelve la ecuación: ![]()
SOLUCIÓN
![]()
Se trata de una ecuación de cuarto grado bicuadrada.
Se puede resolver por el método de las bicuadradas o aplicando la Regla de Ruffini.
Sin embargo, al no tener término independiente, será más rápido sacar factor común.
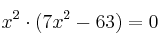
![]()
![]()
Tenemos un producto de dos factores igualado a cero. Hay dos posibilidades:
–
–
Las soluciones son
;
; 