📝 Ejercicios de dominio
-
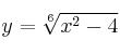
Halla el dominio de la función
![y = \sqrt[6]{x^2-4} y = \sqrt[6]{x^2-4}](local/cache-TeX/845013fb8b301c093d8424bb008ed708.png)
-
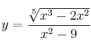
Halla el dominio de la función
![y = \frac {\sqrt[5]{x^3-2x^2}}{x^2-9} y = \frac {\sqrt[5]{x^3-2x^2}}{x^2-9}](local/cache-TeX/b282967508d0729d18ed499afbd8cad2.png)
-
Halla el dominio de la función
![y = \frac{\sqrt[4]{x^3-2x^2}}{x^2-9} y = \frac{\sqrt[4]{x^3-2x^2}}{x^2-9}](local/cache-TeX/ce0e85733b63e27097f86db140040fc6.png)
-
Halla el dominio de la función

-
Represente gráficamente la función

-
Sea la función

– a) Determine su dominio, los puntos de corte con los ejes, sus asíntotas, y
represéntela gráficamente.
– b) Calcule la ecuación de la recta tangente a la curva
en el punto de abscisa
. -
Dada la función
, se pide:
a) Dominio de definición y puntos de corte con los ejes.
b) Estudio de las asíntotas (verticales, horizontales y oblicuas).
c) Intervalos de crecimiento y decrecimiento. Extremos (máximos y mínimos).
d) Representación gráfica aproximada. -
Para la función
, se pide:
a) Dominio de definición y puntos de corte con los ejes.
b) Estudio de las asíntotas (verticales, horizontales y oblicuas).
c) Intervalos de crecimiento y decrecimiento. Extremos (máximos y mínimos).
d) Representación gráfica aproximada. -
Para la función
, se pide:
a) Dominio de definición
b) Calcule
. ¿Es posible calcular también
?. Justifique la respuesta
c) Calcule
-
De las siguientes funciones indica para cada una: tipo de función y dominio.
– a)
– b)
– c)
– d)
– e)