Selectividad Andalucía 2004-1-B2
andalucíaasíntotascorte_ejesdominioEjercicios_Resueltosfuncionesgráficagráfica_hipérbolaMatemat_Soc_Andalucia_2004selectividadtangente a curva
Sea la función 
– a) Determine su dominio, los puntos de corte con los ejes, sus asíntotas, y
represéntela gráficamente.
– b) Calcule la ecuación de la recta tangente a la curva
en el punto de abscisa
.
SOLUCIÓN
– a)
![]()
Corte con los ejes
Punto de corte
Punto de corte ![]()
Asíntotas
Horizontal:
Vertical:
Gráfica: Se trata de una hipérbola. Dibujamos las asíntotas, los puntos de corte con los ejes y calculamos algunos puntos más. Obtenemos la siguiente gráfica:
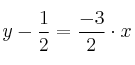
– b) La ecuación de la recta tangente a f(x) en el punto 0 es:
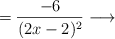
Calculamos los datos necesarios:
![]()
![]()
La ecuación quedaría 