Vectores en tres dimensiones
Consideramos los puntos
,
y
.
– a) Calcula
(distancia entre los puntos A y B)
– b)
(producto escalar)
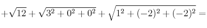
– c) Calcula el perímetro del triángulo de vértices A, B y C
– d) Halla el área del triángulo de vértices A, B y C
SOLUCIÓN
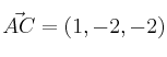
Preparamos los vectores que necesitaremos en los siguientes apartados:
,
, 
– a)
– b)
– c) Perímetro =
– d) Calculamos el área del triángulo con la fórmula:
Área = 

Por tanto, Área = 