Selectividad Murcia Junio 2013 B3

continuidadderivada de una funciónEjercicios_Resueltosfunciones

Sea la función dada por

f(x) = \left\{
\begin{array}{ccc}
\frac{x}{1-e^x} & si & x  \neq 0 \\
 -1 & si & x = 0
\end{array}
\right.
a) Demuestre que es continua en todo R
b) Determine si la función es derivable en x = 0 y, en caso afirmativo, calcule f\textsc{\char13}(x).

SOLUCIÓN

\frac{x}{1-e^x} es continua en R-\{0\}, por lo tanto f(x) es continua en R-\{0\}

Para comprobar la continuidad de f(x) en x=0 tenemos que aplicar la definición de continuidad en un punto

f(0)=-1 (por la definición de la función)

\lim_{x \rightarrow 0^-}f(x) = \frac{0}{1-e^0} = \frac{0}{0}
Aplicamos L’Hôpital para resolver la indeterminación
\lim_{x \rightarrow 0^-}\frac{x}{1-e^x} = \lim_{x \rightarrow 0^-}\frac{1}{-e^x} =\frac{1}{-e^0}=\frac{1}{-1}=-1

Procediendo de forma análoga calculamos \lim_{x \rightarrow 0^+}f(x) = -1

Como coinciden imagen y límites laterales, f es continua en x=0

Por lo tanto, f(x) es continua en todo R

b) Si derivamos \frac{x}{1-e^x} obtenemos
\frac{1-e^x+x \cdot e^x}{(1-e^x)^2}

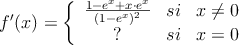
Por tanto, la derivada de f(x) es:


f^{\prime}(x) = \left\{
\begin{array}{ccc}
\frac{1-e^x+x \cdot e^x}{(1-e^x)^2} & si & x  \neq 0 \\
? & si & x = 0
\end{array}
\right.

Comprobamos si es derivable en x=0 y lo que vale su derivada (en caso de ser derivable)

f^{\prime}(0^-)= \frac{1-e^0+0 \cdot e^0}{(1-e^0)^2}=\frac{0}{0}
f^{\prime}(0^+) daría el mismo resultado pues la función es la misma a izquierda y a derecha de cero.

Podemos aplicar L’Hôpital para resolverlo (no olvidemos que la derivada, por definición, es un límite)

Derivando numerador y denominador (cada uno por su lado pues estamos aplicando L’Hôpital) obtendríamos \frac{x \cdot e^x}{-2e^x+2e^{2x}, entonces

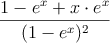
f^{\prime}(0)= \frac{0 \cdot e^0}{-2e^0+2e^{2 \cdot 0}} = \frac{0}{0}

Tenemos que volver a aplicar L’Hôpital

Derivando obtenemos \frac{1 \cdot e^x + x \cdot e^x}{-2e^x+4e^{2x}}, entonces:

f^{\prime}(0)= \frac{1 \cdot e^0 + 0 \cdot e^0}{-2e^0+4e^{2 \cdot 0}} =\frac{1+0}{-2+4}=\frac{1}{2}

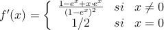
Por tanto la derivada quedaría así:


f^{\prime}(x) = \left\{
\begin{array}{ccc}
\frac{1-e^x+x \cdot e^x}{(1-e^x)^2} & si & x  \neq 0 \\
1/2 & si & x = 0
\end{array}
\right.

Comentar el ejercicio