Selectividad Matrices
Se consideran las matrices

y

– a) Calcule
y
– b) Despeje
de la ecuación matricial
– C) Calcule ![]()
SOLUCIÓN

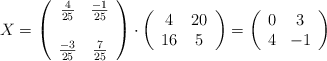
![]()
Para calcular la inversa de
usaremos el método de la definición de inversa
![]()
![]()
![]()
![]()
Resolvemos ambos sistemas de ecuaciones
![]()
![]()
![]()
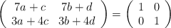
De la misma forma resolvemos el otro sistema y obtenemos como soluciones
y ![]()
Por tanto la inversa es 
![]()
![]()
![]()
