Calcular matriz inversa aplicando la definición
Calcular matriz inversa aplicando la definición
– Uno de los métodos para calcular la matriz inversa es aplicar la definición.
– El método e aconsejable para matrices 2x2 (no aconsejable para matrices de orden 3 o superior)
Paso para calcular la inversa
Supongamos que nos piden calcular la inversa de la matriz 
– 1) Asignamos a los elementos de la matriz inversa (que desconocemos) letras: a, b, c, ..

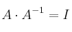
– 2) Planteamos la igualdad de la definición:

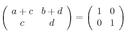
– 3) Resolvemos el producto de matrices
– 4) Igualamos elemento a elemento.
![]()
– 5) Resolvemos los sistemas de ecuaciones resultantes

Por tanto la inversa es 
Mensajes
31 de marzo de 2015, 17:17, por Xavier
me podría ayudar a resolver la matriz
B=
1 i
-i -1
B^-1 como producto de matrices elementales
Por favor.