Selectividad Andalucía 2019 Junio B3
andalucíadiscutir_sistemaEjercicios_ResueltosMatemáticasII_Andalucía_2019selectividadsistema_con_parámetros
Dadas las matrices
,
,
, considera el sistema de ecuaciones lineales dado por
, donde
,
denotan las traspuestas. Discútelo según los distintos valores de m
SOLUCIÓN
Expresamos matricialmente el sistema que se nos propone
![]()

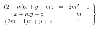
Si lo pasamos a ecuaciones tendremos

Con lo cual la matriz de los coeficientes y la ampliada serán:

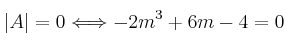
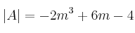
Calculamos det(A) por Sarrus
![]()
![]()
![]()
Podemos resolver la ecuación por Ruffini y obtenemos como soluciones:
y ![]()
Por tanto
ó ![]()
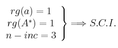
Si
y ![]()
nº incógnitas
S.C.D.(Sistema Compatible Determinado)
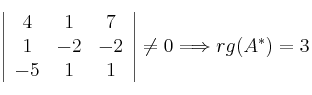
Si ![]()


Si ![]()



Como
S.I. (Sistema Incompatible)
El resultado final de la discusión del sistema es:
Si
y
S.C.D.
Si
S.C.I.
Si
S.I.
Para discutir el sistema hemos usado el Teorema de Rouché