Selectividad Andalucía 2019 Junio A3
Calcula todas las matrices
tales que
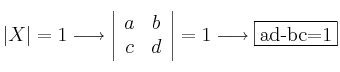
, tienen determinante 1 y cumplen
, siendo 
SOLUCIÓN
Expresamos las tres condiciones que no da el enunciado:
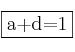
1) 
2) 
3) 
Haciendo los productos obtenemos

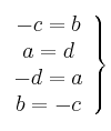
Si igualamos elemento a elemento obtenemos las siguientes relaciones:

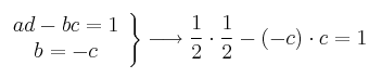
Hay dos repetidas, por tanto nos quedamos con
y 
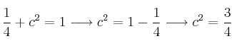
Con todas las ecuacionees anteriores podemos calcular los valores de a,b,c y d




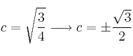
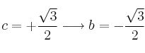
Si 
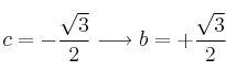
Si 
Por tanto, las dos matrices solución son:
y 